إجابات أسئلة مراجعة الدرس
السؤال الأول:
الفكرة الرئيسة: أوضح المقصود بالموجات الموقوفة، ثم أذكر شروط تكونها في وتر مشدود، وأبين أهمية وجود قوة خارجية دورية تؤثر في هذا الوتر، تتفق مع الوتر في ترددها.
الموجة الموقوفة: نمط اهتزاز ثابت الشكل ينتج عن تراكيب موجتين متساويتين في التردد والطول الموجي والسعة، تنتقلان في اتجاهين متعاكسين في الوسط نفسه.
شروط حدوثها: حدوث تراكب بين موجتين متساويتين في التردد والسعة والطول الموجي تنتقلان باتجاهين متعاكسين في الوسط نفسه.
أهمية تزويدها بالطاقة: لتعويض الطاقة المفقودة بسبب القوى المعيقة للاهتزاز مثل الاحتكاك.
السؤال الثاني:
أقارن بين أنماط التوافقات المختلفة للموجات الموقوفة التي تنشأ في الأعمدة الهوائية المفتوحة، وتلك التي تنشأ في الأعمدة الهوائية المغلقة.
في الأعمدة الهوائية المفتوحة (مفتوحة البداية ومفتوحة النهاية) تكون سعة الاهتزاز عظمى عند الطرفين، بينما في الأعمدة الهوائية المغلقة (مفتوحة البداية ومغلقة النهاية) تكون سعة الاهتزاز عظمى عند البداية وصفراً عند النهاية المغلقة.
في الأعمدة الهوائية المفتوحة تتكون جميع التوافقات (n = 1,2,3,4,…)، بينما في الأعمدة الهوائية المغلقة تتكون التوافقات الفردية فقط (n = 1,3,5,…).
السؤال الثالث:
أفسر: ما أهمية تغيير طول الوتر عند العزف على آلة موسيقية وترية مثل العود؟ وما أهمية وجود تجويف هوائي بحجم مناسب لهذه الآلة، كما في الشكل؟
تغيير طول الوتر على آلة وترية مثل العود يؤدي إلى تغيير الترددات التوافقية، بذلك يمكن الحصول على نغمات بدرجات مختلفة. أما التجويف الهوائي فيساعد على حدوث رنين عند التردد الطبيعي للوتر، مما يضخم الصوت.
السؤال الرابع:
ما الإجراء الذي يتبعه المهندسون عند تصميم المباني المرتفعة والجسور وغيرها؛ للحد من تزايد اهتزازها ووصولها إلى سعة اهتزاز كبيرة تشكل خطراً على المبني أو الجسر.
يُحدث المهندسون تغييرات في الشكل الخارجي للبناء أو الحبال التي تشدّ الجسور المعلقة، حتى لا يكون التردد الطبيعي لها متفق مع التردد الطبيعي للقوى الخارجية المؤثرة في الجسر، فتحدث رنيناً يؤدي لهدم البناء أو الجسر.
السؤال الخامس:
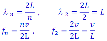
أحلل: يهتز وتر مشدود محدثاً موجات موقوفة فيه، مشكلة (3) عقد وبطنين. أعبر عن الطول الموجي والتردد بدلالة كلّ من طول الوتر وسرعة الموجة.
تشكيل 3 عقد يعني تكون التوافق الثاني (n = 2)، وعندها فإن:

السؤال السادس:
أستعمل المتغيرات: إذا كان تردد التوافق الثاني الذي يمكن لتوليده في وتر قيثارة هو (392 Hz). فأحسب الترددين الأول والثالث اللذين يمكن توليدهما في الوتر نفسه مع ثبات بقية العوامل الأخرى.
الترددان الأول والثالث:
fn = nf1 , f2 = 2f1 , 392 = 2f1 , f1 = = 196 Hz
fn = nf1 , f3 = 3f1 = 3 x 196 = 588 Hz
السؤال السابع:
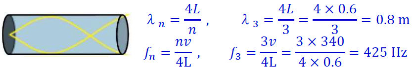
أحسب: يبين الشكل رسماً بيانياً لموجات موقوفة في عمود هواء مغلق النهاية طوله (0.6 m). إذا علمت أن سرعة الصوت في الهواء (340 m/s)، فأحسب كلاً من:
أ- الطول الموجي.
ب- تردد الموجات الموقوفة.
يتضح من الشكل أن التوافق المتكون هو الثالث، أي أن (n = 3)، وبذلك فإن:

إعداد : شبكة منهاجي التعليمية
21 / 07 / 2025
النقاشات