إجابات أسئلة مراجعة الدرس
قانون كولوم
السؤال الأول:
الفكرة الرئيسة: أذكر نص قانون كولوم، وأمثله بعلاقة رياضية.
ينص قانون كولوم على أن القوة الناشئة بين شحنتين نقطيتين في الفراغ تتناسب طردياً مع حاصل ضرب الشحنتين، وعكسياً مع مربّع البعد بينهما.

السؤال الثاني:
أوضح الطرائق الثلاث التي تُشحن بها الأجسام المتعادلة بشحنة كهربائية.
الشحن بالدلك: دلك جسم مع آخر، ينتج عنه انتقال الإلكترونات من سطح أحد الجسمين إلى سطح الجسم الآخر؛ فيصبح الجسم الفاقد للإلكترونات موجب الشحنة، ويصبح الجسم المكتسب للإلكترونات سالب الشحنة.
الشحن بالتوصيل: ملامسة جسم مشحون مع آخر متعادل؛ فيحدث انتقال للشحنات الكهربائية بين الجسمين. فإذا كان الجسم المشحون سالب الشحنة، انتقلت بعض الإلكترونات منه إلى الجسم المتعادل؛ فأصبح الجسمان سالبين. وإذا كان الجسم المشحون موجب الشحنة، انتقلت إليه بعض الإلكترونات من الجسم المتعادل؛ فأصبح الجسمان موجبين.
الشحن بالحث: تقريب جسم مشحون (موصل أو عازل) من جسم متعادل من دون ملامسته، فيعاد توزيع الشحنات على طرفي الجسم الموصل المتعادل، بحيث تنحاز الشحنات السالبة إلى جهة محددة من الجسم لتشكل طرفاً سالباً، تاركة الطرف الآخر موجب الشحنة، ويكون هذا التوزيع مؤقتاً طالما بقي المؤثر قريباً.
السؤال الثالث:
أفسر سبب انجذاب قصاصات الورق من مسطرة بلاستيكية دُلكت بشعر الرأس، ثم تنافر القصاصات مع المسطرة عند تلامسهما.
تؤثر الشحنة السالبة على المسطرة في الورقة فيحدث استقطاب لذرات الورقة ينتج عنه إعادة توزيع طفيف لشحنات تلك الذرات، وهذا يؤدي إلى شحن سطح الورقة القريب من المسطرة بشحنة كهربائية موجبة، تتجاذب مع الشحنات السالبة على المسطرة البلاستيكية.
السؤال الرابع:
أستعمل المتغيرات: شحنتان كهربائيتان موجبتان، مقدار كل منهما (
) تفصلهما مسافة (0.5 m). أحسب مقدار القوة الكهربائية التي تؤثر بها إحدى الشحنتين في الأخرى.

السؤال الخامس:
أحلل بيانياً: أجريت تجربة عملية لدراسة العلاقة بين قوة التجاذب الكهربائية بين شحنتين نقطيتين والمسافة الفاصلة بينهما، ونظمت النتائج في الجدول الآتي. أمثل البيانات بالرسم البياني، ممثلاً المسافة على محور (x) والقوة على محور (y)، ثم أمثل العلاقة بين القوة والمقدار (
)، ثم أستنتج ما يعنية ميل هذه العلاقة. هل تخضع هذه النتائج لقانون كولوم بدقة؟ أعلل إجابتي.

أستنتج أن ميل هذه العلاقة يساوي المقدار:

تخضع النتائج لقانون كولوم، لكن تنحرف بعض القياسات عن القيم الحقيقية لها، بسبب أخطاء في التجربة.
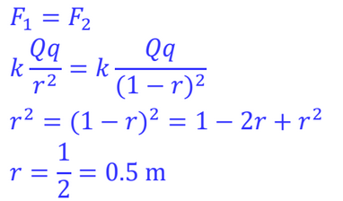
السؤال السادس:
التفكير الناقد: عند وجود شحنتين متساويتين ومتماثلتين في الهواء تفصلهما مسافة (1 m)، أحدد نقطة في المنطقة التي تقع فيها الشحنتان، بحيث إذا وضعت فيها شحنة ثالثة تكون القوة الكهربائية المحصلة المؤثرة فيها صفراً.
أن تساوي القوة المحصلة صفراً، فهذا يعني أن القوتين المؤثرتين في الشحنة الثالثة (q) متساويتان مقداراً ومتعاكستان اتجاهاً، علماً أن: Q1 = Q2 = Q

أستنتج أن نقطة التعادل تقع في منتصف المسافة بين الشحنتين المتساويتين والمتشابهتين.
إعداد : شبكة منهاجي التعليمية
24 / 10 / 2022
النقاشات