إجابات أسئلة مراجعة الدرس
السؤال الأول:
الفكرة الرئيسة: أوضح المقصود بكل مما يأتي:
المائع المثالي: المائع الذي يتصف بالخصائص الأربع (جريانه منتظم، غير قابل للانضغاط، غير لزج، غير دوامي).
قوة الرفع: القوة المتولدة نتيجة فرق الضغط بين أسفل الجناح وأعلاه، والتي تدفع بأجنحة الطائرة نحو الأعلى.
معادلة الاستمرارية: حاصل ضرب مساحة المقطع العرضي لأنبوب جريان المائع في سرعة المائع عند ذلك المقطع يساوي مقداراً ثابتاً.
خط الجريان: خط يمثل مسار جزيئات المائع عند جريانها.
السؤال الثاني:
أحل مشكلات: تتطاير الأسقف المعدنية للمنازل الجاهزة عند هبوب رياح قوية، كما هو مبين في الشكل.
أ- ما التفسير العلمي لما يحدث؟
عند هبوب رياح بسرعة كبيرة فوق سطح المنزل يقل ضغطها ليصبح أقل من الضغط أسفل السطح (داخل المنزل) وبسبب فرق الضغط تتولد قوة رفع تدفع بالسقف لأعلى.
ب- ما النصيحة التي تقدمها لأصحاب تلك المنازل لحل تلك المشكلة؟
فتح نوافذ المنزل بحيث تندفع الرياح أسفل وأعلى سطح المنزل، فيقل فرق الضغط بينهما لتتولد قوة رفع قليلة جداً مقارنة بتلك في حالة إغلاق النوافذ.
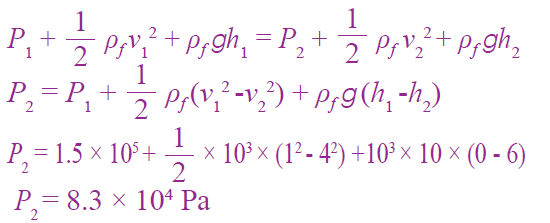
السؤال الثالث:
أستخدم المتغيرات: يتدفق الماء من ارتفاع 6 m عن سطح الأرض –باستخدام مضخة- عبر أنبوب متغير مساحة المقطع كما في الشكل، فإذا علمت أن مساحة مقطع الطرف العلوي للأنبوب 0.2 m2 ، وضغط الماء 1.5 x 105 Pa ومساحة مقطع الطرف السفلي للأنبوب 0.05 m2 ، وسرعة الماء فيه 4 m/s فأجد:
أ- سرعة الماء في الطرف العلوي للأنبوب.

ب- ضغط الماء في الطرف السفلي للأنبوب.

ج- حجم الماء المتدفق من الطرف السفلي للأنبوب خلال دقيقتين.

السؤال الرابع:
أقارن: يمثل الشكل أنبوب جريان مساحة مقطعه غير منتظمة. عند جريان المائع في الأنبوب أجيب عما يأتي:
أ- أوضح كيف تتغير سرعة المائع في الأنبوب.
حسب معادلة الاستمرارية: تزداد سرعة المائع في الأنبوب كلما قلت مساحة مقطعه؛ لذا تكون سرعة المائع أقل في المقطع الأيسر من الأنبوب لأن مساحة مقطعه هي الأكبر، ثم تزداد في المقطع الذي يليه لتصبح سرعته الأكبر في المقطع الأيمن حيث مساحة المقطع هي الأقل.
ب- أقارن بين ارتفاع المائع في كل أنبوب من الأنابيب العمودية الثلاثة.
حسب معادلة برنولي: يقل ضغط المائع في الأنبوب الأفقي كلما زادت سرعة جريانه؛ فإن ضغط المائع في الأنبوب الأيسر يكون الأكبر، ومن ثم ارتفاع المائع في الأنبوب العمودي المتصل به يكون الأعلى، ويقل الارتفاع في الأنبوب الأوسط ليصبح أقل ارتفاعاً في الأنبوب الأيمن.
السؤال الخامس:
أحسب: يتفرع الشريان الأبهر البطني إلى فرعين رئيسين يُسمى كل منهما الشريان الحرقفي كما في الشكل، إذا علمت أن قطر الشريان الأبهر 2 cm وسرعة جريان الدم عبره 0.2 m/s وقطر كل من الشريانين الحرقفيين 12 cm (باعتبارهما متماثلين). فأحسب:
أ-معدل التدفق الحجمي للدم في كل من الشرايين الثلاثة.

ب- سرعة تدفق الدم في الشريان الحرقفي.

إعداد : شبكة منهاجي التعليمية
26 / 03 / 2021
النقاشات