إجابات أسئلة مراجعة الدرس
الموائع السكونية
السؤال الأول:
الفكرة الرئيسة: لماذا تطفو بعض الأجسام فوق سطح الماء، وبعضها يبقى معلقاً، وبعض آخر ينغمر ليستقر في الأسفل؟
يطفو الجسم عندما تكون كثافته أقل من كثافة الماء حيث قوة الطفو أكبر من وزن الجسم، بينما يبقى الجسم معلقاً في الماء عندما تتساوى كثافة الجسم مع كثافة الماء، أما إذا كانت كثافة الجسم أكبر من كثافة الماء فإن الجسم ينغمر في الماء ليستقر في الأسفل.
السؤال الثاني:
ثلاثة مجسمات متماثلة في الحجم (C , B , A) كثافة كل منها على الترتيب
1.3 x 103 kg/m3 , 9.7 x 102 kg/m3 , 2.5 x 103 kg/m3
وضعت داخل حوض جليسرين كثافته 1.3 x 103 kg/m3 . بناءً على ما سبق أجيب عما يأتي:
أ- أقارن بين قوى الطفو المؤثرة في المجسمات الثلاثة لحظة إفلاتها.
قوة الطفو المؤثرة في جسم الزجاج = قوة الطفو المؤثرة في السيليكون = قوة الطفو المؤثرة في المطاط.
ب- أقارن بين القوى المحصلة المؤثرة في المجسمات الثلاثة لحظة إفلاتها.
القوة المحصلة المؤثرة في مجسم الزجاج باتجاه الأسفل < القوة المحصلة المؤثرة في مجسم المطاط باتجاه الأعلى < القوة المحصلة المؤثرة في مجسم السيليكون التي تساوي صفراً.
السؤال الثالث:
السبب والنتيجة: ماذا يحدث في كل حالة مما يأتي:
أ- تفريغ خزانات المياه من الغواصة.
يقل وزنها لتصبح قوة الطفو أكبر من وزنها؛ فتصعد إلى الأعلى.
ب- تقليل درجة حرارة الهواء داخل المنطاد.
يزداد متوسط كثافته ليدخل الهواء الجوي المحيط به من الفتحة السفلية للمنطاد؛ مما يقلل من محصلة قوتي الطفو والوزن، وبناءً عليه؛ فإما أن يقل تسارع المنطاد لأعلى وإما أن يصبح معلقاً أو يهبط إلى أسفل؛ حسب مقدار المحصلة واتجاهها، وحالته الحركية السابقة.
ج- زيادة حجم التجويف في السفينة.
يزداد حجم السفينة، ويقل متوسط كثافتها؛ مما يسهل طفوها؛ حيث يزداد حجم الجزء الطافي منها.
السؤال الرابع:
أحسب: قارب مطاطي يطفو نصف حجمه فوق سطح البحر، فإذا علمت أن كثافة مياه البحر 1024 kg m-3فأجد متوسط كثافة القارب.

السؤال الخامس:
وجدت نور قطعة نقدية قديمة لونها أصفر تشبه الذهب، أرادت التأكد من أن القطعة مصنوعة من الذهب، فعلقت القطعة بميزان نابضي حساس فكانت قراءة الميزان 15.0 N (في الهواء) كما في الشكل، وعند غمرها في الماء أصبحت قراءة الميزان 13.7 N ، أجيب عمّا يأتي:
أ- أرسم مخطط الجسم الحر للقطعة بعد غمرها في الماء.

ب- أحسب قوة الطفو.

ج- أصدر حكماً: هل القطعة النقدية مصنوعة من الذهب؟
علماً بأن كثافة الذهب (19.3 x 103 kg m3)، وكثافة الماء (103 kg m3).

بما أن كثافة القطعة اختلفت عن كثافة الذهب؛ فهذا يدل على أن القطعة ليست مصنوعة من الذهب.
السؤال السادس:
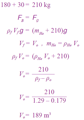
أحسب: بالون مملوء بغاز الهيليوم، ما أقل حجم للبالون ليتمكن من رفع ثلاثة أشخاص مجموع كتلهم يساوي 180 kg ، علماً بأن كتلة السلة التي تحملهم مع كتلة مادة البالون تساوي 30 kg ، وكثافة الهواء 1.29 kg m-3 وكثافة الهيليوم 0.179 kg m-3 ؟

إعداد : شبكة منهاجي التعليمية
29 / 02 / 2024
النقاشات