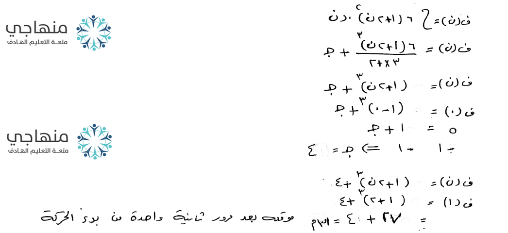
إجابات تدريبات الدرس - تطبيقات فيزيائية
إجابات تدريبات الدرس
تطبيقات فيزيائية




إعداد : أ. ميسون الحسين
12 / 06 / 2019
منهاجي صار أسرع من خلال التطبيق
إجابات تدريبات الدرس
تطبيقات فيزيائية




إعداد : أ. ميسون الحسين
12 / 06 / 2019
النقاشات