إجابات تدريبات الدرس - التكامل بالتعويض
إجابات تدريبات الدرس
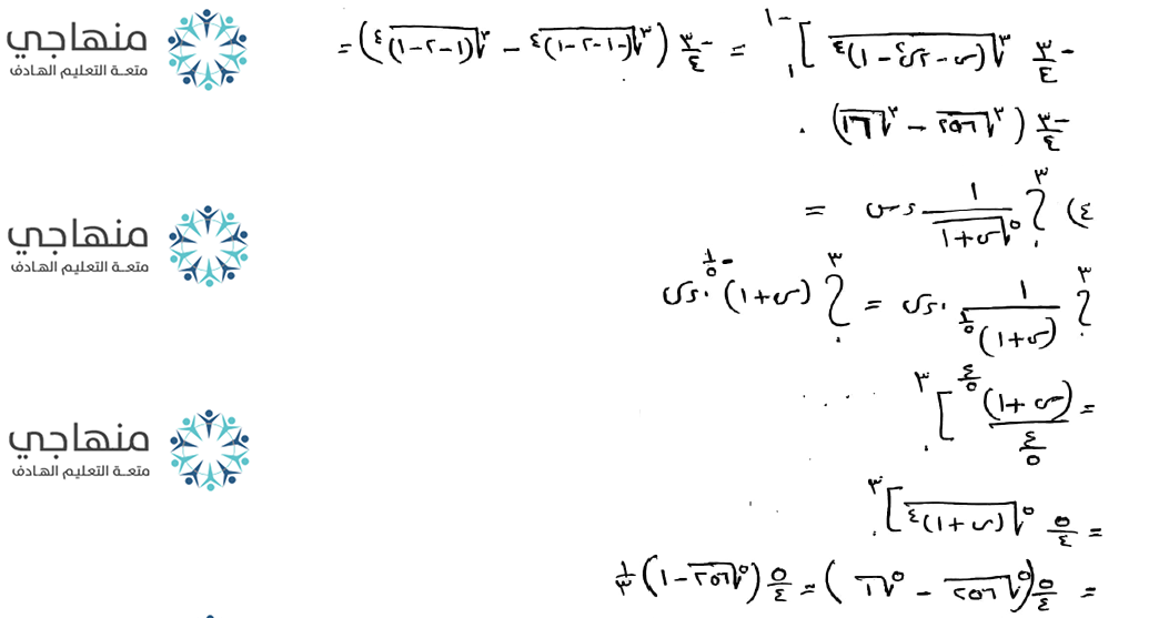
التكامل بالتعويض







إعداد : أ. ميسون الحسين
11 / 06 / 2019
منهاجي صار أسرع من خلال التطبيق
إجابات تدريبات الدرس
التكامل بالتعويض







إعداد : أ. ميسون الحسين
11 / 06 / 2019
النقاشات