إجابات أسئلة الدرس - التكامل غير المحدود
إجابات أسئلة الدرس
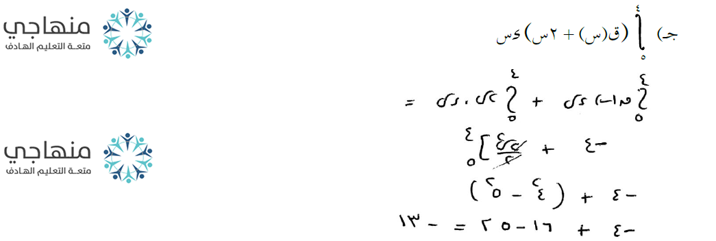
التكامل غير المحدود









إعداد : أ. ميسون الحسين
11 / 06 / 2019
منهاجي صار أسرع من خلال التطبيق
إجابات أسئلة الدرس
التكامل غير المحدود









إعداد : أ. ميسون الحسين
11 / 06 / 2019
النقاشات