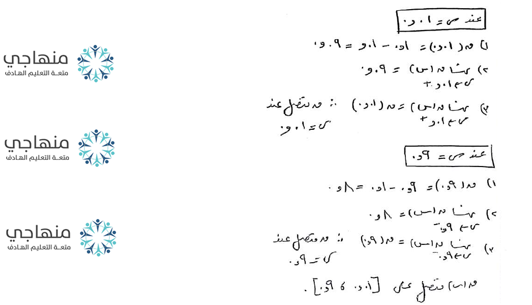
إجابات تدريبات الدرس - الاتصال على فترة
إجابات تدريبات الدرس
الاتصال على فترة






إعداد : أ. ميسون الحسين
09 / 06 / 2019
منهاجي صار أسرع من خلال التطبيق
إجابات تدريبات الدرس
الاتصال على فترة






إعداد : أ. ميسون الحسين
09 / 06 / 2019
النقاشات