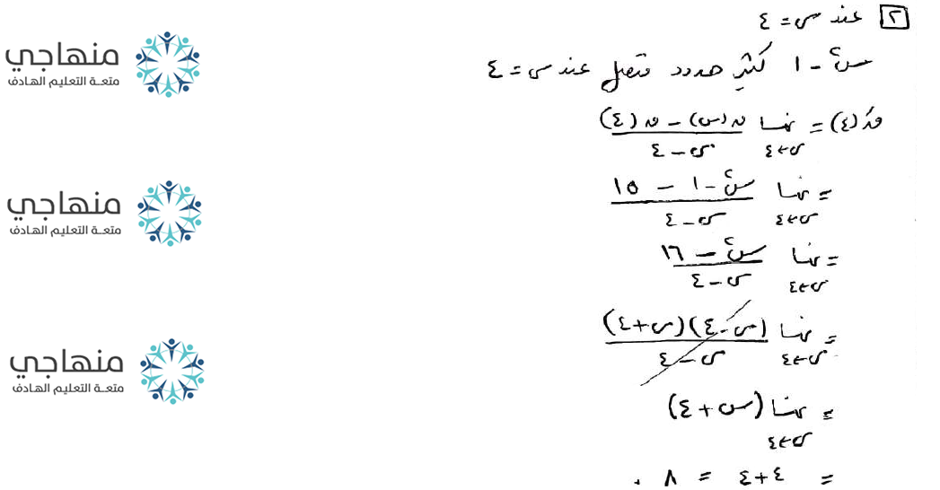
إجابات تدريبات الدرس - الاتصال والاشتقاق
إجابات تدريبات الدرس
الاتصال والاشتقاق



إعداد : أ. ميسون الحسين
08 / 06 / 2019
منهاجي صار أسرع من خلال التطبيق
إجابات تدريبات الدرس
الاتصال والاشتقاق



إعداد : أ. ميسون الحسين
08 / 06 / 2019
النقاشات