إجابات تدريبات الدرس - نهايات اقترانات مثلثية
إجابات تدريبات الدرس
نهايات اقترانات مثلثية

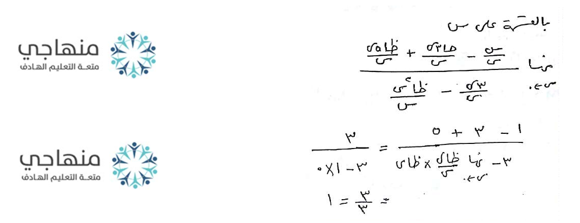
الحل:


الحل:


الحل:


الحل:

إعداد : أ. ميسون الحسين
31 / 10 / 2018
منهاجي صار أسرع من خلال التطبيق
إجابات تدريبات الدرس
نهايات اقترانات مثلثية

الحل:


الحل:


الحل:


الحل:

إعداد : أ. ميسون الحسين
31 / 10 / 2018
النقاشات