إجابات تمارين ومسائل الدرس - نظريات النهايات
إجابات تمارين ومسائل الدرس
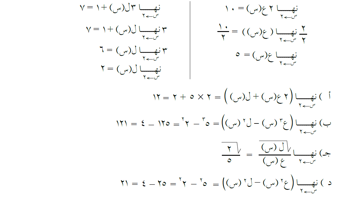
نظريات النهايات

الحل:


الحل:


الحل:




الحل:


الحل:


الحل:


الحل:


الحل:


الحل:


الحل:

إعداد : أ. ميسون الحسين
31 / 10 / 2018
منهاجي صار أسرع من خلال التطبيق
إجابات تمارين ومسائل الدرس
نظريات النهايات

الحل:


الحل:


الحل:




الحل:


الحل:


الحل:


الحل:


الحل:


الحل:


الحل:

إعداد : أ. ميسون الحسين
31 / 10 / 2018
النقاشات