إجابات أسئلة مراجعة الوحدة
الحركة
السؤال الأول:
أضع دائرة حول رمز الإجابة الصحيحة لكل جملةٍ ممّا يأتي:
1- المُتجه الذي يمثل التغير في موقع جسم بالنسبة إلى نقطة إسناد مرجعية هو:
أ- السرعة القياسية.
ب- السرعة المُتجهة.
ج- الإزاحة.
د- الموقع.
2- ناتج قسمة المسافة الكلية التي تقطعها سيارة على الزمن الكلي لحركتها يُسمّى:
أ- السرعة القياسية المتوسطة.
ب- السرعة المتجهة المتوسطة.
ج- السرعة المتجهة اللحظية.
د- التسارع المتوسط.
3- إذا قُذف جسم رأسياً إلى الأعلى، ووصل أقصى ارتفاع له، فإنّ:
أ- إزاحته تساوي صفراً.
ب- تسارعه يساوي صفراً.
ج- زمن الصعود يساوي صفراً.
د- سرعته تساوي صفراً.
4- العبارة الصحيحة التي تصف حركة المقذوف، بإهمال مقاومة الهواء هي:
أ- التسارع الأفقي صفرٌ، والتسارع الرأسي (g).
ب- التسارع الأفقي صفرٌ، والتسارع الرأسي صفرٌ.
ج- التسارع الأفقي (g)، والتسارع الرأسي صفرٌ.
د- التسارع الأفقي (g)، والتسارع الرأسي (g).
5- الإزاحة الأفقية التي يصنعها المقذوف في الشكل المجاور عندما يعود إلى مستوى إطلاقه، تُسمّى:
أ- أقصى ارتفاع.
ب- المدى الأفقي.
ج- المدى الرأسي.
د- المسار الفعلي.
السؤال الثاني:
أصف: نوع الحركة في كل حالة مما يأتي؛ بالاختيار مما بين القوسين:
(بُعدٌ، بُعدان، دائرية منتظمة، دائرية غير منتظمة):
أ- الحركة الدورانية بمعدل ثابت لعجلة السيارة حول محورها.
حركة دائرية منتظمة.
ب- حركة قطار على سكة حديد أفقية في خط مستقيم باتجاه واحد (شرقاً).
حركة في بعدٍ واحدٍ.
ج- حركة قطار على سكة حديد أفقية في خط مستقيم باتجاهين مختلفين (شرقاً، وغرباً).
حركة في بعدٍ واحدٍ.
د- حركة قطار على سكة حديد غير أفقية (صعوداً، وهبوطاً) باتجاه الغرب.
حركة في بعدين.
هـ- حركة طائرة على مدرج المطار.
حركة في بعدٍ واحدٍ.
و- حركة قمر صناعي حول الأرض، على ارتفاع ثابت فوق سطحها.
حركة دائرية منتظمة.
السؤال الثالث:
أجد سرعة عداءٍ قطع مسافة (51 km) في (6 h)، ثم أصف نوع هذه السرعة.
= = = 8.5 km/h
نوع السرعة: قياسية متوسطة؛ لأنّها ناتجة من قسمة المسافة على الزمن.
السؤال الرابع:
تحركت دراجة هوائية في خط مستقيم باتجاه الشرق، فقطعت مسافة (12 km)، ثم تحركت في خط مستقيم باتجاه الشمال،
فقطعت مسافة (9 km) في (35 min) كما في الشكل المجاور. أجد:
أ- السرعة القياسية المتوسطة للدراجة في أثناء حركتها.
= = = 0.6 km/min
ب- السرعة المتجهة المتوسطة للدراجة في أثناء حركتها.
= = = = 0.43 km/min
السؤال الخامس:
صممت مهندسة مدرجاً لحركة الطائرات من وضع السكون حتى تبلغ سرعتها النهائية عند الإقلاع (60 m/s). إذا كان تسارع إحدى الطائرات (2.4 m/s2)، فما أقلّ طول ممكن للمدرج؟
= = 2ax
x = = 750 m
السؤال السادس:
رمت ليلى قبعتها إلى الأعلى بسرعة ابتدائية رأسية مقدارها (7 m/s)، بإهمال مقاومة الهواء. ما أقصى ارتفاع وصلت إليه القبعة؟
= - 2gy
y = = 2.5 m
السؤال السابع:
أطلقت قذيفة من سطح الأرض بسرعة ابتدائية، مركبتها الأفقية (49 m/s)، ومركبتها الرأسية (98 m/s). أجد مقدار الزمن اللازم لوصول القذيفة إلى أقصى ارتفاع.
= - at
0 = v0 sin - gt
0 = 98 - 9.8 x t
t = 10 s
السؤال الثامن:
قذفت كرة أفقياً من فوق بناية بسرعة ابتدائية مقدارها (20 m/s)، فوصلت سطح الأرض بعد مروره (3.0 s) من رميها. إذا قذفت الكرة أفقياً من المكان نفسه بسرعة مقدارها (30 m/s)، فمتى تصل سطح الأرض؟
سوف تصل إلى الأرض بعد مرور (3.0 s) أيضاً؛ لأنّ المركبة الرأسية للسرعة الابتدائية في الحالتين تساوي صفراً، والسرعة الأفقية لا تؤثر في زمن الهبوط.
السؤال التاسع:
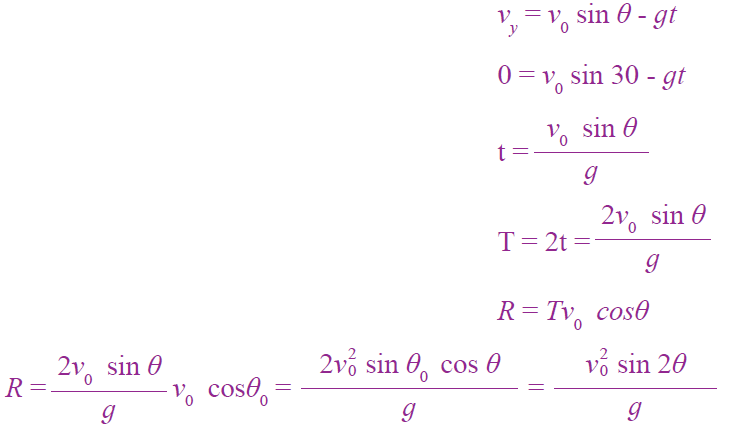
أطلقت قذيفة بسرعة ابتدائية (V0)، وبزاوية مع سطح الأرض مقدارها (300)، كما في الشكل الآتي. إذا أصبحت الزاوية (450)، فكيف سيتغير مدى القذيفة الأفقي؟
سيزداد المدى الأفقي.
لمزيد من التوضيح، يجب التوصّل إلى علاقة رياضية بين المدى الأفقي وزاوية الإطلاق:

إعداد : شبكة منهاجي التعليمية
13 / 10 / 2022
النقاشات