إجابات أسئلة مراجعة الدرس
القوة المركزية
السؤال الأول:
الفكرة الرئيسة: ما المقصود بالقوة المركزية؟ وهل هي نوع جديد من القوى؟ أفسر إجابتي.
القوة المركزية هي القوة المحصلة التي تؤثر في جسم يتحرك حركة دائرية منتظمة نحو مركز مساره الدائري، ورمزها (Fc)، تسبب تغيراً في اتجاه سرعته، أي تكسبه تسارعاً مركزياً.
وهي ليست نوعاً جديداً من القوى؛ وإنما هي اسم يطلق على القوة المحصلة المؤثرة عمودياً على متجه السرعة المماسية لجسم متحرك في مسار دائري.
السؤال الثاني:
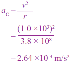
أستخدم المتغيرات: متوسط نصف قطر مدار القمر حول الأرض (3.8 x 108 m) تقريباً، وسرعته المماسية المتوسطة (1.0 x 103 m/s)، وكتلته (7.3 x 1022 kg) تقريباً.
أ- أحسب زمنه الدوري في مداره.

ب- أحسب مقدار تسارعه المركزي.

ج- ما منشأ القوة المركزية المؤثرة فيه، واللازمة لدورانه في مداره؟
قوة التجاذب الكتلي بين الأرض والقمر.
د- أحسب مقدار القوة المركزية المؤثرة فيه.

السؤال الثالث:
أستخدم المتغيرات: سيارة كتلتها (1.1 x 103 kg)، تتحرك بسرعة (12 m/s)، في منعطف نصف قطره (25 m).
أ- أحسب مقدار التسارع المركزي للسيارة.

ب- أحسب مقدار القوة المركزية المؤثرة في السيارة.

ج- ما منشأ القوة المركزية المؤثرة في السيارة؟
قوة الاحتكاك السكوني الجانبية بين إطارات السيارة وسطح الطريق.
د- أحسب مقدار أكبر سرعة مماسية يمكن أن تتحرك بها السيارة في هذا المنعطف؛ إذا كان مقدار قوة الاحتكاك السكوني العظمى المؤثرة نحو مركز المنعطف (8 kN).

السؤال الرابع:
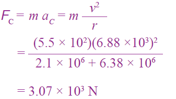
أحسب: قمر صناعي كتلته (5.5 x 102 kg)، يدور حول الأرض على ارتفاع (2.1 x 103 km) من سطح الأرض. إذا كان الزمن الدوري للقمر ساعتين وتسع دقائق، ونصف قطر الأرض (6.38 x 103 km)، فاحسب مقدار:
أ- السرعة المماسية للقمر.

ب- القوة المركزية المؤثرة في القمر.

السؤال الخامس:
أصدر حكماً: في أثناء دراستي وزميلتي فاتن لموضوع القوة المركزية، قالت: "يجب على سائق سيارة السباق التي تتحرك على طريق أفقي لمنعطف زيادة مقدار سرعة السيارة؛ لزيادة مقدار القوة المركزية المؤثرة فيها، وبالتالي المحافظة على استقرارها وعدم انزلاقها". أناقش صحة قول فاتن.
قول زميلتي فاتن غير دقيق علمياً؛ لأن زيادة سرعة السيارة يتطلب زيادة مقدار قوة الاحتكاك السكوني الجانبية اللازم تأثيرها في السيارة لتوفير القوة المركزية المناسبة لضمان عدم انزلاقها، غير أنه يوجد قيمة عظمى لقوة الاحتكاك السكوني، وهذا يعني أنه عند سرعة معينة تصبح هذه القوة غير قادرة على توفير القوة اللازمة لضمان استقرار السيارة في المنعطف، فتنزلق خارجه.
ملاحظة: علاقة القوة المركزية تعطي مقدار القوة اللازم تأثيرها في سيارة السباق لضمان عدم انزلاقها إلى خارج المنعطف، وهذه القوة المركزية توفرها قوة الاحتكاك السكوني الجانبية بين إطارات السيارة وسطح الطريق.
إعداد : شبكة منهاجي التعليمية
01 / 03 / 2024
النقاشات