طباعة الدرس
إجابات تدريبات الدرس
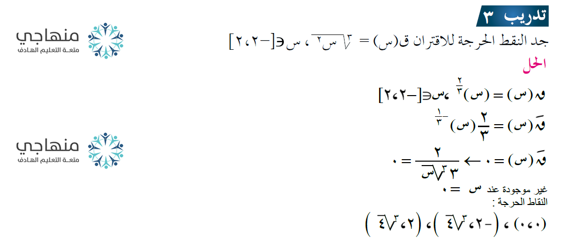
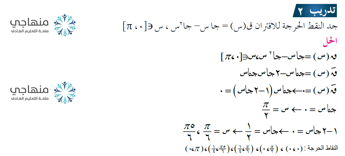
النقطة الحرجة